三角公式的所有推导过程(高中数学-三角函数公式推导)
三角公式的所有推导过程(高中数学-三角函数公式推导)
在本篇文章里,我们推导一些基本的三角函数公式,包括和差公式、和差化积公式、积化和差公式。
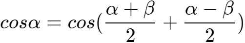
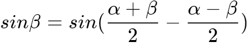
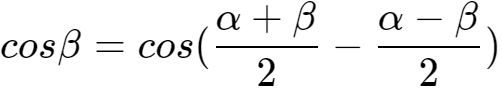
首先我们需要推导三角函数和公式,也就是

单位圆
不难得出,B点坐标为

单位圆
不难得出,A点坐标为

,B点坐标为

,并且,

,

,

,

,另外,

。



化简一下就可以得到:

(1)



化简一下可以得到:

(2)
联立(1)式、(2)式,就可以解出:







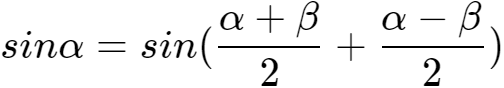
这里需要注意,当我们遇到难以化简的三角函数时,应该首先考虑利用

来构造可以化简的项。
到这里,我们也就推导出来了三角函数差公式:


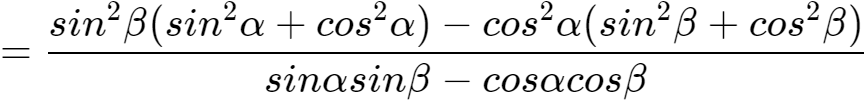
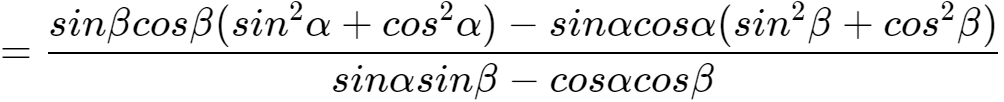
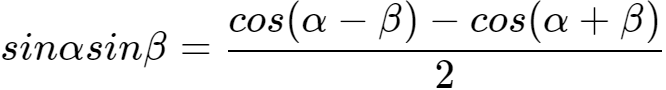
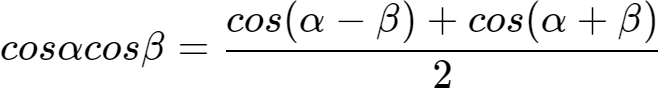
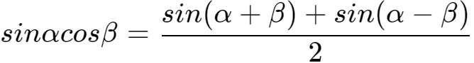
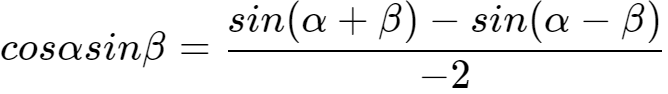
我们再以三角函数的和差公式为基础来推导和差化积公式。








需要注意,这里使用到一种常见的构造方法,即

,

。
基于上面几个式子,我们就可以推导出三角函数的和差化积公式:




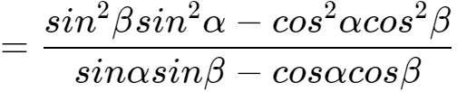
最后,我们再基于三角函数的和差公式来推导积化和差公式。简单来说,就是将和差公式的左右对调,然后消去不必要的项。




-
- 面对男人突然的冷漠态度,聪明女人几乎都会这样处理
-
2026-01-31 07:28:45
-
- 发廊(发廊起名字有什么讲究)
-
2026-01-31 07:26:31
-
- 韵达客服,韵达客服电话是免费的吗?
-
2026-01-31 07:24:17
-
- 皖南川藏自驾游攻略
-
2026-01-31 07:22:02
-
- 大爷月收入一万多,相亲20多次全失败:长相不过关的女人配不上我
-
2026-01-31 07:19:48
-
- 雪丘岛户外质量好吗
-
2026-01-31 07:17:34
-
- 如果老婆非要离婚怎么办(老婆出轨怎么办)
-
2026-01-30 22:40:30
-
- 农村路边开什么店比较好
-
2026-01-30 22:38:15
-
- 美好的一天早安的说说(美好的一天从早安开始)
-
2026-01-30 22:36:01
-
- 俄罗斯渔夫深海捕获“外星”鱼 样貌丑陋吓人
-
2026-01-30 22:33:47
-
- 焦糖南瓜色美甲推荐 超级温柔
-
2026-01-30 22:31:33
-
- 得道者多助失道者寡助(解读文言文金句的含义)
-
2026-01-30 22:29:18
-
- 凄凉的近义词和反义词(凄凉的反义词)
-
2026-01-30 22:27:04
-
- 减肥能吃牛肉干吗(减肥能吃牛肉干吗会胖吗)
-
2026-01-30 22:24:49
-
- 大自然有哪些有趣的事啊(大自然有趣的自然现象,你知道多少呢?)
-
2026-01-30 22:22:35
-
- 孩子骨龄对照表(孩子骨龄对照表孩子六岁耻骨没长出来什么原因)
-
2026-01-30 22:20:21
-
- 6月份吃什么水果?六月份吃什么水果?
-
2026-01-30 22:18:06
-
- 准备离婚的心情说说,面临离婚的心情说说一
-
2026-01-30 22:15:52
-
- 全国最值得去的古镇,没有被商业化,古朴宁静,却少有人知
-
2026-01-30 22:13:38
-
- 狗狗能吃草莓吗(狗狗能吃草莓吗博美)
-
2026-01-30 22:11:23



雪燕吃起来有酸味正常吗 雪燕是什么味道
女生说哎什么意思 女生说哎呀是什么意思
小六子是什么梗 网络用语中央开空调是什么意思
结扎有补贴吗?结扎需自费
夫妻在别人家为什么不能睡一起?夫妻不能别人家同床睡
香烟保质期是多长时间 香烟放一年没拆还能抽吗
网络用语真实你是什么意思 网络用语gzy是什么意思
女生说我醉了什么意思?女生说喝多了怎么回复
女生说七喜什么意思?女生说七喜暗示什么?
郑多燕小红帽减肥有用吗 郑多燕小红帽的作用